Octal

Not as prevalent as other numbering systems. Used in computer and computing applications, such as character constants and byte constants. Also known as Base-8 with a set of = {0,1,2,3,4,5,6,7}
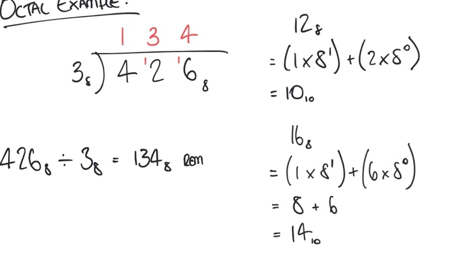
Converting
The above diagram shows the process of converting a decimal number into the octal system. The first step includes multiplying each integer by 8n, where in n corresponds to the place value of the integer. Then, to get the final decimal number, all products are summed.

Examples of operations: